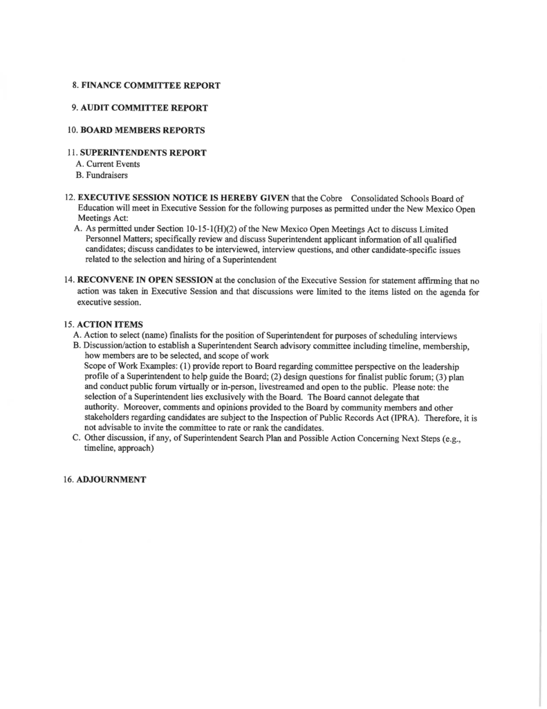
Notice is here by given that a Special Board Meeting of the Cobre Consolidated School District Board of Education is called for April 16 at 4:30pm in the afternoon at Cobre Consolidated School District Office. Attached is the agenda for the meeting.

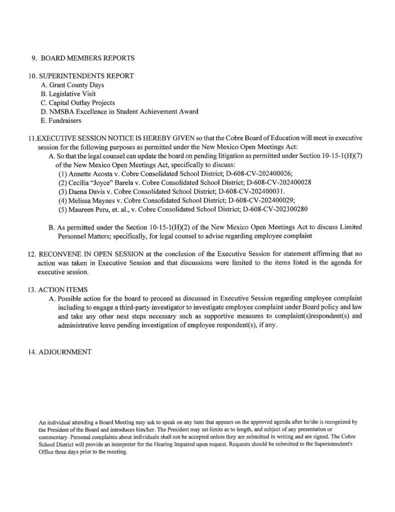
Notice is here by given that a Special Board Meeting of the Cobre Consolidated School District Board of Education is called for April 14th at 5:00pm in the afternoon at Cobre Consolidated School District Office. Attached is the agenda for the meeting.

Meet & Greet for parents and potential candidates, this will be held on April 11th, at 1pm, at June Junes Ice Cream Parlor.

Cobre Kindergarten Registration April 22 from 8AM- 4PM at your local elementary school. See attached fly for more details.

The Superintendent Search Survey remains open through today. If you would like to submit a question for the superintendent finalists, please email Human Resources at nramirez@cobreschools.org with your email address so that a survey can be sent to you.
Notice is here by given that a Special Public Forum with the Cobre Consolidated School District Board of Education and the finalists for the position of Superintendent of Schools is called for April 9 at 5:00PM in the afternoon at Cobre Consolidated School District Office. Attached is the agenda for the meeting. The Forum can be watched live at https://youtube.com/live/nsDY0gK2Oc0?feature=share

WE INVITE THE COMMUNITY TO PARTICIPATE IN OUR VIRTUAL PUBLIC
FORUM TO HELP THE BOARD OF EDUCATION SELECT THE NEXT SUPERINTENDENT.
The link will be posted on Facebook, and the school website in the coming days.
FORUM TO HELP THE BOARD OF EDUCATION SELECT THE NEXT SUPERINTENDENT.
The link will be posted on Facebook, and the school website in the coming days.

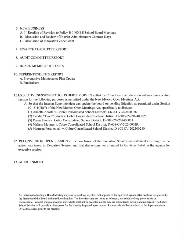
Notice is here by given that a Special Board Meeting of the Cobre Consolidated School District Board of Education is called for April2 at 4:30pm in the afternoon at Cobre Consolidated School District Office. Attached is the agenda for the meeting.

With the permission of the family, our Cobre community is rallying around one of our students and her family during this difficult time.
She is currently stable and receiving medical care. Please keep her and her family in your thoughts and prayers.
Tomorrow, we will have counselors and staff available on campus to support any students who may need it.
If you would like to support the family, a GoFundMe has been created.
Thank you for showing what it means to be Cobre strong. ❤️
#OneEffort #CobreStrong
https://gofund.me/f6f999ca2
She is currently stable and receiving medical care. Please keep her and her family in your thoughts and prayers.
Tomorrow, we will have counselors and staff available on campus to support any students who may need it.
If you would like to support the family, a GoFundMe has been created.
Thank you for showing what it means to be Cobre strong. ❤️
#OneEffort #CobreStrong
https://gofund.me/f6f999ca2

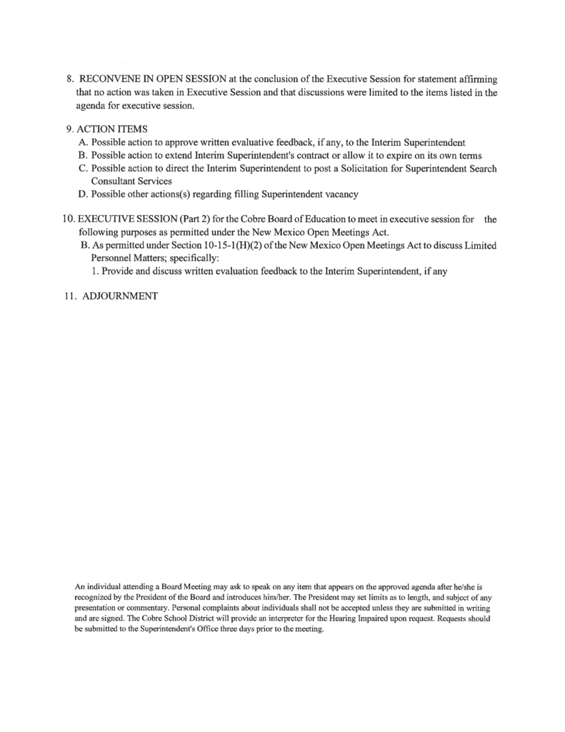
Notice is here by given that a Special Board Meeting of the Cobre Consolidated School District Board of Education is called for March 31 at 4:00pm in the afternoon at Cobre Consolidated School District Office. Attached is the agenda for the meeting.

Notice is here by given that a Special Board Meeting of the Cobre Consolidated School District Board of Education is called for March 30 at 5:00pm in the afternoon at Cobre Consolidated School District Office. Attached is the agenda for the meeting.

The Cobre Board of Education is now accepting letters of interest from community members
who would like to participate in the decision-making process regarding whether the name Dr.
Abe Armendariz should be added to the Howie Morales Baseball Stadium.
Persons interested should submit a letter of interest to Interim Superintendent Randall Piper at
rpiper@cobreschools.org no later than April 15, 2026.
Three (3) Community members will be nominated to be on the committee at the Regular Board
of Education Meeting on April 20, 2026 being held at 5:00 pm at San Lorenzo Elementary
School.
If you have any questions, you may email or call Mr. Piper at 575-537-4010.
who would like to participate in the decision-making process regarding whether the name Dr.
Abe Armendariz should be added to the Howie Morales Baseball Stadium.
Persons interested should submit a letter of interest to Interim Superintendent Randall Piper at
rpiper@cobreschools.org no later than April 15, 2026.
Three (3) Community members will be nominated to be on the committee at the Regular Board
of Education Meeting on April 20, 2026 being held at 5:00 pm at San Lorenzo Elementary
School.
If you have any questions, you may email or call Mr. Piper at 575-537-4010.

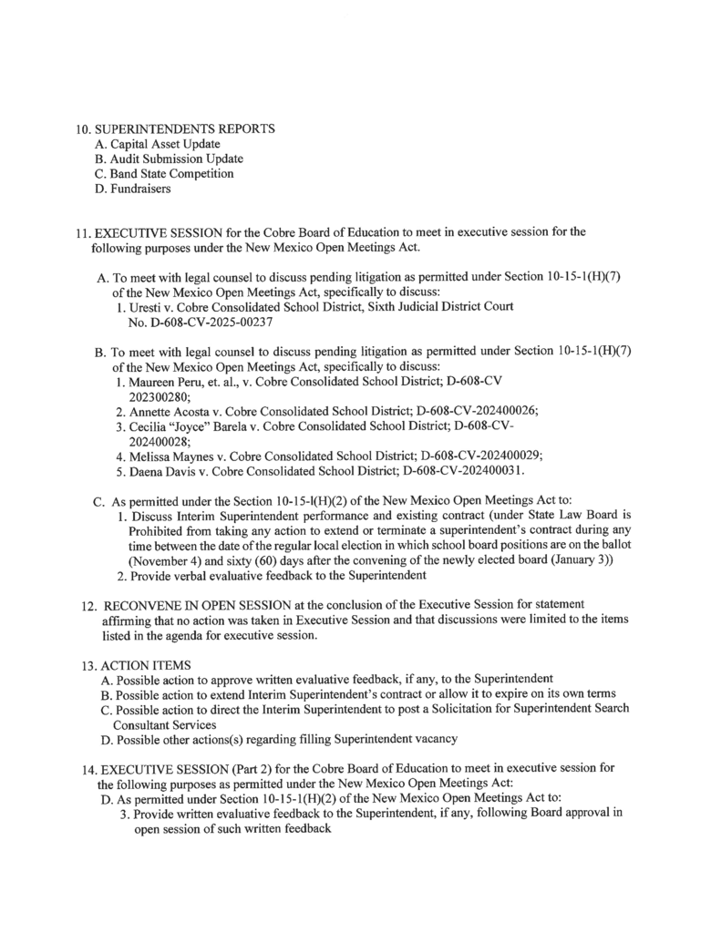
Notice is here by given that the Regular Board Meeting of the Cobre Consolidated School District Board of Education is called for March 16 at 5:00pm in the afternoon at Cobre High School. Attached is the agenda for the meeting.


Miss Grant County Scholarship Pageant! Look at this amazing opportunity coming to Grant County! This Scholarship pageant is a wonderful chance for young women to grow in confidence, leadership, and service all while competing for scholarship opportunities and representing our area with pride. If you or someone you know may be interested, now is the time to get involved! Stay tuned for more details and be sure to help spread the word.
For more information please email missgrantcounty@gmail.com

Instructional Recovery Day – Monday, March 9
Due to the January 12 water closure, Cobre HS and Snell MS will hold an Instructional Recovery Day to make up missed instructional time as required by NMPED.
Students will follow a modified schedule (see flyer below).
If your student will not attend and you are using a parent excuse, please email:
Cobre High School: rrios@cobreschools.org
Snell Middle School: sholguin@cobreschools.org

March is Music in Our Schools Month®, a nationwide celebration led by the National Association for Music Education to recognize the vital role of music education in students’ lives. From band and choir performances to elementary performances. Music in Our Schools Month® reminds us that music strengthens academic achievement, fosters teamwork, and builds confidence. We invite families and community members to join us in celebrating the power of music and supporting the continued growth of our school’s music programs.
We would like to extend a heartfelt thank you to our music teacher Mr. Aaron Lewis, band teacher Mr. Clayton Raichel and Mariachi teacher Mrs. Damaris Sanders for sharing their love of music with our students each and every day.Their passion, dedication, and enthusiasm inspire creativity, build confidence, and foster a lifelong appreciation for the arts. Through their guidance, students not only develop musical skills but also learn the value of teamwork, discipline, and self-expression. We are truly grateful for the positive impact they make in our school community.
We would like to extend a heartfelt thank you to our music teacher Mr. Aaron Lewis, band teacher Mr. Clayton Raichel and Mariachi teacher Mrs. Damaris Sanders for sharing their love of music with our students each and every day.Their passion, dedication, and enthusiasm inspire creativity, build confidence, and foster a lifelong appreciation for the arts. Through their guidance, students not only develop musical skills but also learn the value of teamwork, discipline, and self-expression. We are truly grateful for the positive impact they make in our school community.

Please click the link and vote for your choice of school calendar for the 2026-2027 School Year. Voting closes on Wednesday March 4th at 4PM. https://forms.gle/KC7H9yrNaAE9dGAVA
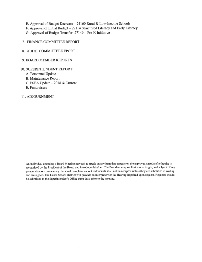
Notice is here by given that the Regular Board Meeting of the Cobre Consolidated School District Board of Education is called for Febuary 16 at 5:00pm in the afternoon at Central Elementary School. Attached is the agenda for the meeting.


Join us for the Little Mermaid, WNMU Fine Arts Auditorium Jan 30, 31, Febuary 6, & 7th at 6PM. Admission is Free Donations Accepted!

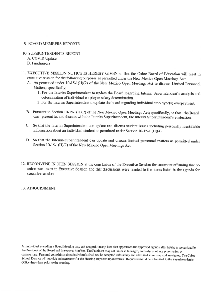
Notice is here by given that the Regular Board Meeting of the Cobre Consolidated School District Board of Education is called for January 19 at 5:00pm in the afternoon at the board room located at the Cobre District Office. Attached is the agenda for the meeting.


